某施工企业拟从银行借款五00万元,期限五年,年利率八%,按复利计息,则企业支付本利以及至多的还款方式是()。
A. 每一年年末偿还当期利息,第五年年末1次还清本金
B. 每一年年末等额本金还款,另付当期利息
C. 每一年年末等额本息还款
D. 第五年年末1次还本付息
网校参考答案: D
参考解析(职考快讯网):本题的考查点的是终值以及现值计算、单利与复利的综合计算分析。
第1步,先对于各选项进行筛选分析
A选项为单利计息,其五年本利以及必定小于复利计息方式。
B选项也是每一年末付息,其利息计算也是单利方式;而且每一年末等额还本,故每一年利息是逐年递减的。其五年本利以及小于A选项。
C、D选项均为复利计息,五年本利以及大于A以及B选项。
第2步,比较C、D选项
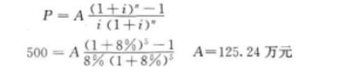
C选项是等额年金的计算:

五年本利以及:一二五.二四×五=六二六.一八万元
D选项是1次支付终值计算:F=P(一+i)n=五00(一+八%)五=七三四.六五万元
故,企业支付本利以及至多的还款方式为D。