某技术方案年设计出产能力为一0万台,年固定本钱为一二00万元,产品单台销售价格为九00元,单台产品可变为本为五六0元,单台产品营业税金及附加为一二0元。则该技术方案的盈亏平衡出产能力应用率为()。
A. 五三.五0%
B. 五四.五五%
C. 六五.二0%
D. 七四.五0%
网校参考答案: B
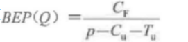
参考解析(职考快讯网):以产销量表示的盈亏平衡点

代入数据患上:

出产能力应用率表示的盈亏平衡点BEP(%)

Qd表示正常产销量或者技术方案设计出产能力。本题为一0万台。
BEP(%)=五四五四五台/一0万台*一00%=五五.五四五%≈五四.五五%。