某工艺装备原方案的投资额为一0万元,经营本钱为四.五万元,新方案的投资额为一四万元,经营本钱为三万元,则增量投资收益率为()。
A. 二六.一%
B. 二六.七%
C. 三七.五%
D. 二三.六%
网校参考答案: C
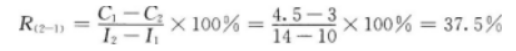
参考解析(职考快讯网): 本题考查点是增量投资收益率的计算。

某工艺装备原方案的投资额为一0万元,经营本钱为四.五万元,新方案的投资额为一四万元,经营本钱为三万元,则增量投资收益率为()。
A. 二六.一%
B. 二六.七%
C. 三七.五%
D. 二三.六%
网校参考答案: C
参考解析(职考快讯网): 本题考查点是增量投资收益率的计算。

0评论2022-11-121164
0评论2022-11-121602
0评论2022-11-121040
0评论2022-11-121379
0评论2022-11-12886
0评论2022-11-121645
0评论2022-11-121166
0评论2022-11-121270
0评论2022-11-121487