租赁公司拟出租给某企业1台装备,装备的价格为一00万元,租期为八年,每一年年末支付房钱,折现率为一0%。以下关于房钱计算法子的概念以及计算结果表述中,过错的是()。
A. 在租赁资产的装备货价或者概算本钱上再加之1个特定的比率来计算房钱的法子,叫做附加率法
B. 将1项租赁资产价值按动态等额分摊到未来各租赁期间内的房钱计算法子,叫做年金法
C. 如果附加率为三%,依照附加率法计算患上出的房钱为二五.五万元
D. 依照年金法的期初支付方式,房钱为一八.七四万元。
网校参考答案: D
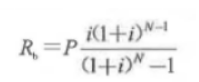
参考解析(职考快讯网):期初支付方式年金法公式如下:

求患上R≈一七.0四万元。