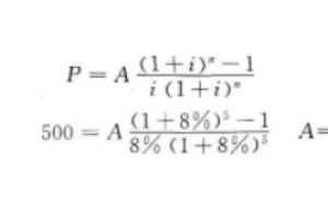
- 某施工企业拟从银行借款500万元,期限5年,年利率8%,按复利计息,则企业支付本利和最多的还款方式是()。
0评论2022-11-12
某施工企业年初向银行贷款流动资金100万元,按季计算并支付利息,季度利率2%,则一年支付的利息总和为()万元。
0评论2022-11-12595
某企业从第1年年末开始,每年年末向某储蓄机构存入1000元,连续存入15年。在第20年末将本利和一次性取出。如果年利率为8%,按年复利计息,则该企业在第20年末可以取出的本利和为()。
0评论2022-11-121386
已知年利率8%,按季度复利计息,则半年有效利率是()。
0评论2022-11-121354
某借款年利率为8%,半年复利计息一次,则该借款年有效利率比名义利率高()。
0评论2022-11-121047
影响资金时间价值的因素有资金()。
0评论2022-11-12901
利率是各国发展国民经济的重要杠杆之一,下列因素中决定利率高低的因素有()。
0评论2022-11-121271
某企业连续n年每年年初向银行贷款A万元,借款年利率为r,每半年复利计息一次,则第n年末一次偿还贷款金额为()。
0评论2022-11-121687
关于资金时间价值的说法中,正确的是()。
0评论2022-11-121193
关于年有效利率和名义利率的说法,正确的有()。
0评论2022-11-12760
设备在使用过程中,磨损的程度与使用强度和使用时间长短有关的是( )
0评论2022-11-12787
一种磨损虽使设备贬值,但它是社会生产发展的反映,这种磨损愈大,表示社会进步愈快。该磨损属于( )。
0评论2022-11-121446
对整机性能尚可,有局部缺陷,个别技术经济指标落后的设备,应选择的补偿方式是( )
0评论2022-11-121678
在进行设备更新方案比较时,对原设备价值的计算应该按照( )
0评论2022-11-121048
某建设单位,拥有一台设备,目前实际价值 8000 元,预计残值 2000 元,第 1 年的设备运行成本 600 元,第 2 年的设备运行成本 900 元,每年设备的劣化增量是均等的,年劣化值 480
0评论2022-11-121381
2022年一级建造师考试《工程经济》模拟试题(十三)
0评论2022-11-121541
2022年一级建造师考试《工程经济》模拟试题(十四)
0评论2022-11-12956
2022年一级建造师考试《工程经济》模拟试题(十五)
0评论2022-11-121110
某企业向银行借款80万,年复利率8%,第四年末还本付息,则到期时向银行偿还()万元。
0评论2022-11-12929
某银行年贷款利率12%,按季度计息,则年有效利率是()。
0评论2022-11-12813